Introduction
In certain medical investigations, the occurrence of individual or item failure can be attributed to multiple causes or factors that compete for the failure event of the subject under study. Competing risks emerge when an individual faces the possibility of failing in multiple ways, yet only one of these failure types can transpire (1-3). For instance, a person could pass away due to either cancer or a heart stroke but not both (even though they might have both ailments prior to their demise). Another instance involves a randomized clinical trial comparing treatments for lung cancer, where patients may succumb to lung cancer, heart disease, or other underlying reasons (4). Traditionally, researchers have been primarily concerned with analyzing the lifetime distribution under a specific cause of failure, treating all other competing causes as censored data (5). However, more recently, advanced models have emerged to assess the lifetimes of specific risk factors in the presence of competing risk factors. These models leverage datasets containing time-to-event information along with an indicator variable that signifies the specific cause of failure for the individual or item under observation. It is possible to assume that these distinct failure causes are either independent or dependent on each other (6). In many cases, the analysis of competing risk data assumes the independence of failure causes. For an in-depth exploration of various competing risk models, refer to Crowder and the comprehensive work by David and Moeschberger (7).
In some studies, models like Cox regression have been employed to detect survival with competing risks, aiming to investigate the impact of each covariate variable on the occurrence of distinct events and to estimate the hazard function. The Cox model is commonly used when assessing the influence of multiple variables on survival time concurrently. In essence, the observed distribution of survival times is associated with a particular failure factor, with other causes being treated as censored data. In this context, the Cox model is widely utilized as a semi-parametric model (8,9).
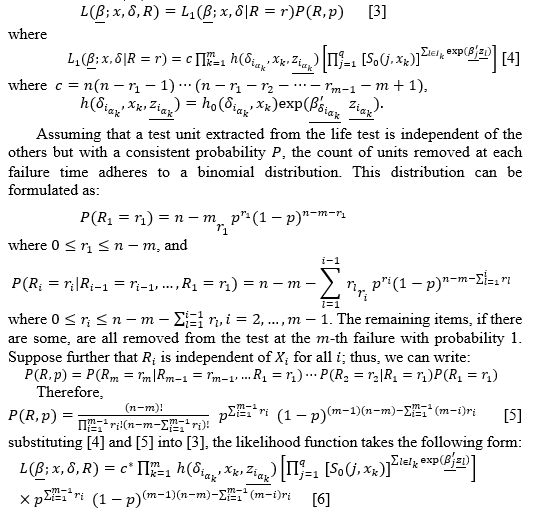
Let T be a random time and Z be a vector of covariates in Rp . The proportional hazards model assumes that conditional on Z , the hazard rate function of T, is given by

where β∈Rp is an indefinite regression parameter vector, and h0(t) is an indefinite baseline hazard rate function (4).
Censorship represents an inherent element of medical and reliability studies, stemming from the practical challenge of acquiring comprehensive data about the complete lifespan of every individual. For instance, participants in a follow-up study might withdraw or the study might need to conclude at a predetermined time point. The 2 primary forms of censoring are type I and type II censoring (10-12). The present paper primarily delves into the realm of competing risk data within the context of progressively type II censoring. Progressive censoring is of particular significance in designing duration experiments, especially in the domain of reliability studies.
We employ competing risk data analysis within the framework of progressively type II censoring, which assumes elevated importance in shaping the design of duration experiments, particularly in the context of medical research. Both the conventional and progressive censoring structures share similar objectives, yet the latter is strategically designed to alleviate information loss by effectively managing the number of observed failures relative to the broader sample approach.
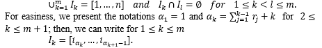
Let ( T1 , Z1 ),…,( Tn , Zn ) be n independent of (T, Z ). A progressive type II censored sample is attained using the following method. First, suppose that we are given integers r1 , r2 ,…, rm , chosen a priori, such that r1+⋯+ rm +m=n . Consider the lifetimes T1 , T2 ,…, Tn as the failure times of n items that are placed on the test at time zero. We denote by X (1) (the first failure time) and i1 (the number of the unit that failed). Immediately after the occurrence of the first failure, a certain number of items r1 labeled i2 ,…, ir1+1 are randomly chosen and removed from the test. This set of removed items is denoted as I1 =[ i1 ,…, i r1+1] . Then, at the second observed failure time X (2) , the corresponding item number is ir1 +2 , and a new set of r2 surviving items labeled ir1+3,…, i r1+r2+2 is randomly selected and removed from the test. We then denote I2 =[ i r1+2 ,…, i r1+r2+2] . This process continues until, at the time X (m) of the m -the observed failure of unit number ir1+⋯+ rm-1+m , the surviving items ir1+⋯+ rm-1 +m+1 ,…, in are all removed from the experiment, and we denote Im =[ ir1+⋯+ rm-1 +m ,…, in] . Note that this censoring structure leads to a subsample X (1) <⋯< X (m) of the order statistics T (1) <⋯< T (n) obtained from T 1 ,…, T n . Note also that the sets of unit numbers I 1 ,…, I m satisfy

Note that the complete and type right-censored samples are single of the above scheme when r1=r2=⋯=rm=0 and r1=r2=⋯=rm-1=0,rm=n-m , respectively. It is important to note that the order statistics that result from a progressive type II censoring scheme are a specific example of generalized order statistics, which were introduced by Kamps (13,14). For full instructions and more details on the review, the reader is referred to the book by Balakrishnan and Aggarwala (15-17) or other studies (18,19).
It is worth noting that within this structure, the variables R1,R2,…,Rm are predetermined. However, practical scenarios may arise where the count of items or individuals being dropped or excluded from a study becomes a random variable. Yuen and Tse mention, for instance, that the number of patients excluded at different stages of clinical trials is subject to random selection and cannot be anticipated beforehand. Similarly, in certain reliability tests, testers might opt not to examine specific units, deeming it unnecessary or risky even if those units could potentially fail. Consequently, the patterns of exclusions become stochastic, as all instances of exclusion are subject to randomness.
Let's assume that each test unit failing the lifetime assessment is independent of other units but shares the same probability of being excluded, denoted as p. Following this, Xie et al indicate that the count of instances being excluded in each fault interval adheres to a binomial distribution (20).
This paper aims to analyze competing risk models in the presence of progressively type II censored data with binomial random removals arising from the proportional hazards model (11,21). The Cox model is a commonly used statistical technique to study the relationship between a patient's survival and various risk factors. The purpose of the model is to simultaneously delve into the effects of several variables on survival (12).
Methods
The Model's Assumptions
The paper assumes that there are q independent causes of failure directed toward each unit (22-24). The model studied in the paper contains the following assumptions:


To simplify the notation, we will use henceforth Xi instead of x (xi) (22, 23).
The Likelihood Function of the Model and Estimators
The Likelihood Function
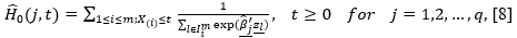
Using the mentioned assumptions in section 2 and conditional on I1,I2,…,Im , the likelihood function for the type II progressively censored model under competing risk is as follows (10):
where (10)


Under some standard regularity conditions, V-1(β^) provides an estimate for the variance-covariance matrix of β^ and so follows hypothesis tests and confidence intervals for β .
Finally, the Breslow-type estimator (24) of the baseline type-specific cumulative hazard function for the j-th failure type can be written as

where (25)

Results
Employed in a Real-World Dataset
Consider a scenario where demographic, personal, clinical, and laboratory data are gathered through interviews and physical examinations conducted on a sample of 200 individuals participating in a study on cardiovascular disease (CVD). These participants, between the ages of 50 and 79, who had no CVD at baseline, will be followed for 10 years. To further demonstrate the use of the proportional hazards model in competing risks, a subset of 68 participants from the simulated data is used. The event of interest, denoted as " t ," represents the period of time during which participants remain free from CVD. This time duration is defined in terms of years, starting from the baseline and ending at the earliest occurrence of either a participant being diagnosed with CVD or being confirmed to have passed away due to CVD-related causes. Cardiovascular disease, in this case, includes coronary heart disease (CHD) and stroke. Covariates of interest include age (AGE), sex (SEX = 1 for males and SEX = 0 for females), smoking status (SMOKE = 1 for current smokers and SMOKE = 0 otherwise), and body mass index ([BMI = weight] . in kilograms divided by height in meters squared), systolic blood pressure (SBP), logarithm of the ratio of urine albumin to creatinine (LACR), logarithm of triglycerides (LTG), hypertension status (HTN = 1 if SBP 140 mm Hg or DBP 90 mm Hg or on treatment hypertension and otherwise HTN = 0) and diabetes status (DM = 1 at fasting glucose of 126 mg/dL or on treatment for diabetes and otherwise DM = 0).
To evaluate the CVD outcome of interest, we use DG to denote the type of CVD. Specifically, DG = 0 if the CVD-free time is censored, DG = 1 if the participant had a stroke, DG = 2 if the participant had CHD, and DG = 3 if the participant had other types of CVD.
Results for Stroke
For stroke, SBP and hypertension status are the only significant variables. In contrast, gender, BMI, smoking status, body, the logarithm of urinary albumin and creatinine ratio, and diabetes status are significant variables for CHD and other CVDs. The outcomes suggest that the significant risk factors vary for different types of CVD events.
Simulation Results
Generally, in the simulated data, we can observe that the results for type II progressive right-censored sampling designs produce better results than results based on the usual type II censored sampling designs (Table 1).
To fit the competing risk model, the data are generated from a progressively type II censored sample with m = 32, p = 0.2, and a specific censoring scheme.
R=(7,6,3,5,2,2,2,0,2,1,2,2,0,0,0,1,0,0,0,0,1,0,…,0).
Table 2 presents the outcome of applying the backward selection technique for fitting the proportional hazards model.
Table 2. Results on cardiovascular disease event time data from the fitted competing risks model

|
Discussion
This article provides a comprehensive exploration of both theoretical concepts and practical applications involved in survival modeling when dealing with competing risks within the framework of the Cox proportional hazards model, particularly focusing on progressive censorship with binomial distances. The results of a simulation study highlight the superiority of type II progressive right-censored sampling plans over conventional type II censored sampling plans. The analysis revealed shifting significant risk factors across various CVD events.
Competing risk analysis in the CoxPH model for progressive censorship with binomial removal has been studied by Chacko and Mohan (26). They consider the analysis of competing risk data under progressive type II censoring, assuming the number of units removed at each stage follows a binomial distribution. They obtain Bayes estimators assuming a Weibull distribution for the population under consideration. On the other hand, Lodhi et al (27) discuss a competing risks model using Gompertz distribution under progressive type II censoring. Singh et al (28) discuss the inference for the competing risks model when the failure times follow Chen distribution, with partially observed causes of failures considered as independent. They obtain maximum likelihood estimates for model parameters under generalized progressive hybrid censoring. Also, a study examined the influence of unaccounted causes of failure on inference in the Bayesian "index of local sensitivity to non-ignorability" within the proposed competing risks model (28). They concluded that the missing data mechanism should be given special consideration when using the suggested model in cases where the causes of failure are potentially missing.
In some studies, the model parameters have been thoroughly examined and compared in terms of classical and Bayesian inferences, using extensive simulation studies to evaluate their respective performances (29). They showed that Bayes estimators perform better than the MLE in terms of Mean Squared Error (MSE), and non-informative prior performs better than estimators based on informative priors.
One aspect of the current study involved considering an independent failure causes model with exponential lifetimes. The removal of items or subjects at each failure point followed a binomial distribution. Maximum likelihood estimators were derived for the unknown parameters within this model, accompanied by the calculation of their asymptotic distributions. It was observed that varying binomial distances with different probabilities lead to estimations characterized by varying levels of precision. Future simulation studies are recommended to explore the impact of the parameter "p" on the accuracy of MLE estimates. Additionally, other studies have also explored Bayesian estimators under similar conditions, assuming a Weibull distribution for the underlying population (27).
Also, a simulation study was conducted to evaluate the performance of the different estimators derived in these contexts (23,29)..
The present study introduces a hierarchical Bayes methodology and devises a Metropolis-Hastings sampling algorithm to facilitate intricate posterior computation. Furthermore, the efficacy of the proposed techniques is demonstrated through comprehensive simulation experiments and practical data analysis.
Conclusion
To sum up, the estimated parameters on the defined scheme setting are recommended. They can be used in many practical situations when competing risks occur, and progressive censoring could be considered.
Acknowledgement
We would like to thank the Department of Biostatistics and Epidemiology, the School of Medicine, Zanjan University of Medical Sciences, for providing the environment for modeling data and manuscript writing.
Funding sources
This study did not have any funds.
Ethical statement
The Ethics Committee of Zanjan University of Medical Sciences approved the protocol of this study (Approval No. IR.ZUMS.REC.1399.221).
Conflicts of interest
The authors declared no conflicts of interest.
Author contributions
All authors studied and confirmed the manuscript. Conceptualization: AP, RH, JA, SN. Data curation: AP. Formal analysis: JA, RH. Funding acquisition: None. Methodology: AP, RH, SN. Writing original draft: AP, RH, JA, SN. Writing, review, and editing: AP, RH, JA, SN.