Highlights
- The use of Nano-drugs and exercise can regulate and reduce the spread of Alzheimer's disease. In this experimental study, the synergistic effects of folate Nano-liposomes and HIIT reduced the expression of dopamine D1 and D2 receptor genes.
Introduction
Neurological and mental illnesses are major causes of cognitive disorders that affect millions of people. Various drugs have been introduced to treat these disorders, but no effective treatment has yet been found. One treatment is the use of nanoparticle systems. Nanoparticles can improve drug delivery and have been introduced to reduce and overcome Alzheimer's. Regular exercise can positively affect depression, anxiety, and other cognitive disorders (1). Physical inactivity is one of the most substantial risk factors for dementia and Alzheimer's disease (AD) (2). High-Intensity Interval Training (HIIT) is a training protocol with short periods of intense or explosive anaerobic training with short and intermittent recovery periods. The protocol relies on the anaerobic energy release system to prevent or delay many diseases (3). Alzheimer's disease is a common type of dementia with progressive neuronal degeneration (4). There are five types of dopamine receptors, D1-D5. D1 receptors bind to adenylate cyclase, and when activated, cyclic adenosine monophosphate (AMP) is produced as a secondary messenger (5). Unlike D1, D2 receptor gene expression does not positively correlate with adenylate cyclase and inhibits this enzyme (6). However, activation of D1 and D2 receptor gene expression increases the release of acetylcholine in the hippocampus (7). The biological use of nanoparticles has been emphasized as a new therapeutic approach in treating diseases and lesions of the nervous system. Exercise for physiological reasons can also be effective in synergizing these effects (8). Exercise plays an essential role in preventing neuroinflammation and improving memory by increasing dopamine D2 and D1 receptor gene expression and acetylcholine in the hippocampus (9). Physical activity and exercise increase blood flow throughout the body and brain (10). Kabir et al. (2020) showed that combination therapy was effective for AD, including the concomitant use of memantine and a cholinesterase inhibitor (11, 12). Natural compounds such as chelertin, chalcone, coumarin, hoprin, berberine, and resveratrol derivatives have shown such potential and necessitate further studies for the development of AD (13). Investigation of anti-amyloid genic and antioxidant properties of biosynthesized silver nanoparticles using leaf extract to lemon showed that with increasing the concentration of the extract, the antioxidant properties of these nanoparticles increased, and the most inhibition of amyloid filament production at 2 mg/ml and 96 Percent were observed (14). Nano-liposomes enable conjugation and increase the uptake of nanoparticles in the treatment of Alzheimer's disease. Increasing ferritin reduces fat peroxidation in the hippocampus, weakens the immune system, and reduces cognitive perception (15). Direct delivery of the drug from the nose to the brain in the formulation of nanoparticles for the treatment of neurological disorders has also been introduced. Drug delivery was, therefore, more efficient and targeted. However, more preclinical studies are needed to confirm non-toxicity and their beneficial effects (16). In most studies, only nanoparticles were used, and no exercise was used. There were also examples of human research. But in this study, controlled animal samples and regular exercise activities were used. Many treatments are limited in effectiveness, have side effects, and have not shown significant changes in AD (17). Nano-liposomes seem to eliminate lipid deficiencies of metals such as folate by combining lipid molecules in an aqueous solution (18, 19). Of course, plant-based diets and folate-rich fish are resistant to AD (20). Folate deficiency is one of the factors affecting homocysteine, cognitive disorders, and Alzheimer's (21). Iron nanoparticles can be magnetized and pass through
the microvascular endothelial cells of the brain and be used to treat neurological and cerebral diseases (22). Dopamine, which acts as a neurotransmitter and hormonal agent in the brain (23), controls the locomotors system and destroys dopaminergic neurons or dysfunction (24). Only supplements (drugs) or only exercise were used in previous studies. But in this study, both variables were examined simultaneously, and so far, genes and this exercise protocol have not been used. This study aimed to evaluate the effects of high-intensity interval training (HIIT) and folate Nano liposomes on the expression of D1 and D2 genes in the hippocampal tissue of Alzheimer's rats.
Materials and Methods
Thirty-five male Wistar rats with a mean age of 8weeks±4days and a mean weight of 250±20g were obtained. All stages of the research were carried out by the rules of ethics in research and the Helsinki Declaration, under the supervision and getting a code of ethics. All the rats' living, feeding, and sleeping facilities were provided. The experimental steps were performed without using a shocker in a standard laboratory by a technician and an animal specialist. Rats were kept in the Physiology and Pharmacology animal laboratory under controlled light conditions (12 hours of light and 12 hours of darkness), the temperature of 22°C, and humidity of about 45%. Three-five rats in Plexiglas cages with netting and dimensions of 25×27×43 cm in storage had free access to standard water and food.
2.1. Grouping
After three days of familiarity with the environment, the rats were introduced to the treadmill and how to run on it for 10 minutes five times a week. After 48 hours of rest from the last familiarization session, the rats were tested for measurement of maximal exhaustion test, and the maximum oxygen consumption was predicted using the maximum velocity during exhaustion (25). Rats were randomly divided (for random sampling, the names of 5 groups were first recorded on a sheet and then folded into a container. Then, a rat and a leaf were taken out of the container). According to the group’s name, the rat was in that group. The sheet of each group was taken out of the container after completing the number) Five groups and seven rats were placed in each group (control, Alzheimer control, Alzheimer+HIIT, Alzheimer+Folate Nano liposomes, HIIT+Alzheimer+Folate Nano liposomes).
2.2. Alzheimer’s induction
To prepare the peptide, in the first step, beta-amyloid was dissolved in the buffer solution until its pH reached 7.4. The resulting solution was incubated at 37°C for three days. Then at -70°C, a dense beta-amyloid was formed. The animal physician and technician then anesthetized the rats by intraperitoneal injection of ketamine and xylazine. The animals' heads were then fixed in a stereotaxic device, and by creating a longitudinal incision in the posterior part of the skull, the injection cannulas were inserted into the lateral ventricles in the rear position of the Bergma 0.8, 1.5 mm on either side of the longitudinal incision and 2.5 mm lower. The surface of the skull was placed, and the beta-amyloid injection into the hippocampus (one microliter on each side) was performed with a Hamilton syringe. Dye was first injected into the rats' heads to ensure the correct injection site in the brain. The rats were sacrificed after the study period, and the injection site was examined. In the sham group, all laboratory steps were the same as in the beta-amyloid injection group, except that in the sham group, one microliter of DMSO buffer was injected into each of the hippocampi (26).
2.3. Exercise protocol
The training protocol was a combination of high-intensity repetitions and active rest. Intensity interval training (HIIT) included two minutes of running on a treadmill with a maximum intensity of 80% in the first week. The training program was performed from the second to the fourth week with 110-90% of the ultimate power. Active rest also included two minutes of running, completed with 40% of maximum intensity in the first to the third week. It continued in the fourth week with a maximum of 30% maximum. The number of repetitions was determined according to the intensity of the rats’ training sessions. So in the first week, two repeats, in the second week 4 repetitions, and from the beginning of the third week 6 repetitions were designed in the sections. Rats were monitored during all training sessions and were encouraged to continue running by manipulating the sponge (23).
2.4. Supplementation
Consumption of Folate Nano-liposomes was injected intra-peritoneal as a supplement for 6 weeks and 5 days a week using a dose of 80μmol/kg. To determine the status of Alzheimer's, Maurice Blue Maze memory and spatial learning tests, Probe test, and visible platform tests were used.
2.5. Laboratory Measurements of D1 and D2 receptor gene expression
Three days after the last training session; Mice were rapidly anesthetized by intraperitoneal injection of ketamine (90mg/kg) and xylazine (10mg/kg). The hippocampus was frozen and refrigerated for analysis at -80°C. D1 and D2 receptor gene expression were examined by the Real-time-PCR method. The RNA extraction method was performed according to the kit protocol. cDNA was synthesized by Prime Script TM RT reagent (catalog number#RR037A), and according to the kit instructions. For each reaction, the kit instructions were used to prepare and add ingredients. The mixture was then incubated at 37°C for 15 minutes and then the tubes were heated at 85°C for five seconds to stop the reaction. In the beginning, the optimal cDNA concentration and the primers related to each gene were determined separately for each using a serial concentration test so that the lowest dimer and the best Ct were observed (22) (Table 1).
Table 1. Sequence of primers
Reverse primer
5´-3´ |
Forward primer
5´-3´ |
Gene |
TGGACTGTCTGCCCATTGG
TTGAATAGGCCAGGGTTTTG
GGCCTCACTAAACCATCCAA |
AAGCTGAAAGTCAACAAATGACAGTT
ACTTGCATTGCTGATTGCTG
GCAATTATTCCCCATGAACG |
D1
D2
18S |
2.6. Data analysis
The Shapiro–Wilk test results also showed the normal distribution of data. Using the Leven test, the homogeneity of variances was investigated and confirmed. One-way ANOVA was used to determine intergroup differences after Alzheimer's induction. The results were analyzed by the Bonferroni post hoc test (P<0.05). The test hypotheses were one-sided.
Results
3.1. Effects of Folate Nano liposomes and HIIT on D1 and D2 receptor gene expression
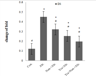
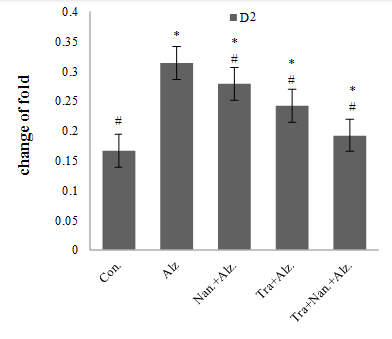
Descriptive information was reviewed and recorded. A comparison of D1 and D2 receptor gene expression showed the most significant increase in the Alzheimer's group. Increased expression of the D1 and D2 receptor gene was lower in Alzheimer's + HIIT + folate Nano-liposome group than in the Nano-liposome folate, Alzheimer's, and HIIT groups (Figure 1 and 2) (P<0.001)

Figure1.Comparison of gene expression values and significant D1changes between five experimental groups in male rats
*:P≤0.05, significant difference between the control group and another group
#:P≤0.05, a significant difference between Alzheimer’s group and another group
Figure 2. Comparison of gene expression values and significant D1changes between five experimental groups in male rats
*:P≤0.05, significant difference between the control group and another group
#:P≤0.05, a significant difference between Alzheimer’s group and another group
The results showed that HIIT and folate Nano liposomes reduced the expression of dopamine D1 and D2 receptor genes in rats. One possible mechanism is that HIIT increases blood flow to the brain, improving brain function, nervous system, and muscle coordination, which is consistent with Burger et al. (2010) (27). Folate Nano-liposomes have also acted as an antioxidant against the beta-amyloid peptide, apoptosis, Alzheimer's disease, and improved neurotransmitter function, in line with Farioli et al. (2015) results (28). Taval et al. (2021) had similar results to the findings of this study and confirmed the effect of physical activity on brain function (29). Cholinergic neurotransmitters may be produced by physical activity, which reduces the activity of Aβ plaques and improves learning, memory, and nerve tissue formation (30). Thus, exercise may increase dopamine D2 receptor and acetylcholine secretion in the hippocampus, enhance the function of the memory cholinergic system, and stop the release of acetylcholine release in the hippocampus, preventing memory impairment (31).
Exercise’s potential effects on dopamine include increased urinary dopamine, increased availability of dopamine D2/D3 receptor, increased dopamine secretion in the caudal nucleus, the release of dopamine in the intra-abdominal striatum, and increased blood plasma dopamine. But some studies did not show significant changes in dopamine concentrations after exercise. Contradictory results were found in studies in which the administration of dopamine inhibitors, in combination with dopamine inhibitors, positively affected performance and reduced fatigue at maximum speed. However, blocking dopamine receptors appears to be harmful, and a significant positive correlation was observed between dopamine-related gene expression and regular exercise (32). The differences between the training protocol, the research sample, and the lack of supplementation have caused contradictions.
Piri et al. (2011) stated that activation of presynaptic nicotinic receptors could also increase glutamate secretion and positively affect memory. Thus, the activity of dopaminergic receptors D1 and D2 increases proliferation, differentiation of neurons and dopamine receptors gene expression, and brain growth (33). Exercise increases calcium concentration in the cell and is therefore effective in dopamine secretion (34). The magnetic properties of folate Nano liposomes appear to be involved in information storage, and the accumulation of these particles has also been observed in Alzheimer's disease. Magnetic iron oxide nanoparticles and residues in the axons of neurons can interact magnetically, which is essential for the transmission and storage of brain data. However, as these nanoparticles accumulate in the brain, this interaction is disrupted, and the nanoparticles attach to microtubules and tau proteins, leading to the instability of microtubular polymers. Petzinger (2015) also confirmed this mechanism (35). This study seems that the results are due to the synergistic effects of exercise and supplementation. Cordero (2017) also believed that iron plays a significant role in oxygen transport and physical activity, and its deficiency causes fatigue and irritability. Therefore, consumption of folate and exercise Nano liposomes increased access to oxygen and increased dopamine secretion, positively affected cognitive status, and improved Alzheimer's disease (36). In humans, compounds such as tacrine (a cholinesterase inhibitor) have been used to stop the progression of Alzheimer's but have been limited due to toxic liver side effects. Donepezil, rivastigmine, and galantamine are also widely used. The dose of donepezil and memantine should be increased with increasing dose but may not work after several months of treatment and should be discontinued. Of course, they have conduction effects and abnormalities and may not affect them. These drugs are the best drugs available to stop and treat AD. But they have a relatively moderate effect and do not change the course of the underlying nerve damage (37). The differences between the results of the present study and these findings are: subject, exercise, medication, disease progression, and type of drug combination. The critical point of this study was to investigate the simultaneous effects of exercise and supplementation and the use of animal samples. These effects have been shown to reduce nerve damage and improve brain function by activating blood flow, synergizing the impacts of iron absorption and exercise.
Conclusion
The present study showed that high-intensity interval training with folate Nano-liposomes modulates the D1 and D2 gene expression in rats. We suggest that further research is needed to confirm the results.
Conflict of Interests
There is no conflict of interest between the authors
Ethical Approval
The code of ethics has been obtained by the Faculty of Medicine of the Islamic Azad University, Varamin Branch, with the number: IR.IAU.VARAMIN. REC.1399.041.
Funding/Support
This article is an excerpt from a student dissertation, and the authors have borne all costs.